Malzeme karakterizasyonu dünyasında, X-ışını kırınımı (XRD) yalnızca “hangi faz var” sorusuna yanıt vermekle kalmaz; aynı zamanda kristal yapının içinde gizlenen küçük gerilimleri ve tanecik boyutlarını da fısıldar. İşte Williamson–Hall (W–H) yöntemi, bu sessiz sinyalleri anlamanın en pratik yollarından biridir.
Peki nedir bu Williamson–Hall yöntemi?
1953 yılında G. K. Williamson ve W. H. Hall tarafından geliştirilen bu yaklaşım, XRD piklerinin genişliğini (β) yalnızca kristalit boyutu (D) ile değil, aynı zamanda mikrogerinim (ε) ile ilişkilendirir.
Klasik Scherrer denklemi, yalnızca tanecik boyutuna odaklanır ve gerinim etkisini göz ardı eder. Oysa gerçek malzemelerde, özellikle seramiklerde ve alaşımlarda, bu iki etki çoğu zaman iç içedir.
Temel Denklem
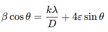
Williamson–Hall yaklaşımı şu sade formülle ifade edilir:

Burada:
- β: Pik genişliği (radyan cinsinden, FWHM),
- θ: Bragg açısı,
- λ: X-ışını dalga boyu,
- k: Şekil faktörü (genellikle 0.9),
- D: Ortalama kristalit boyutu,
- ε: Mikrogerinimdir.
Bu denklem aslında bir doğru denklemi gibidir. Eğer β cos θ değerlerini 4 sin θ’ye karşı grafiğe dökerseniz, doğrunun y-kesişimi (intercept) size kristalit boyutunu, eğim (slope) ise mikrogerinimi verir.
Yani laboratuvarda toplanan birkaç XRD piki, bir anda size nanometre ölçeğinde bilgi sunar!
Neden önemli?
Williamson–Hall analizi, özellikle nanoyapılı seramikler, ince filmler, metalik köpükler gibi yüksek iç gerilimli sistemlerde çok şey söyler.
- Kristalit boyutu küçükse: Malzeme sert ama kırılgan olabilir.
- Mikrogerinim yüksekse: Yapı içinde dislokasyon, kusur veya artık gerilme mevcuttur.
Bu bilgiler, malzemenin mekanik dayanımı, difüzyon davranışı ve ısıl kararlılığı gibi birçok özelliğin temelini oluşturur.
Küçük bir ipucu
Gerçek analiz yaparken mutlaka cihaz katkısını (β₍inst₎) düzeltmek gerekir. Yani ölçülen genişlikten cihazın kendi saçılma etkisini çıkarmak gerekir. Aksi halde sonuçlar olduğundan “bulanık” görünür.
Son Söz
Williamson–Hall yöntemi, basit ama etkili bir yaklaşımdır. Deneysel olarak ulaşılması kolay birkaç pikin ardında, malzemenin mikro dünyasına açılan bir pencere saklıdır.
Kimi zaman Scherrer’den bir adım öteye geçmek, o yapının iç gerilimlerini ve kristalit düzenini anlamak için yeterlidir.
“XRD yalnızca çizgiler değil, o çizgilerin ardındaki düzenin hikâyesidir.”
